彩票平台

今天是:
 
当前位置: 首页 > 正文

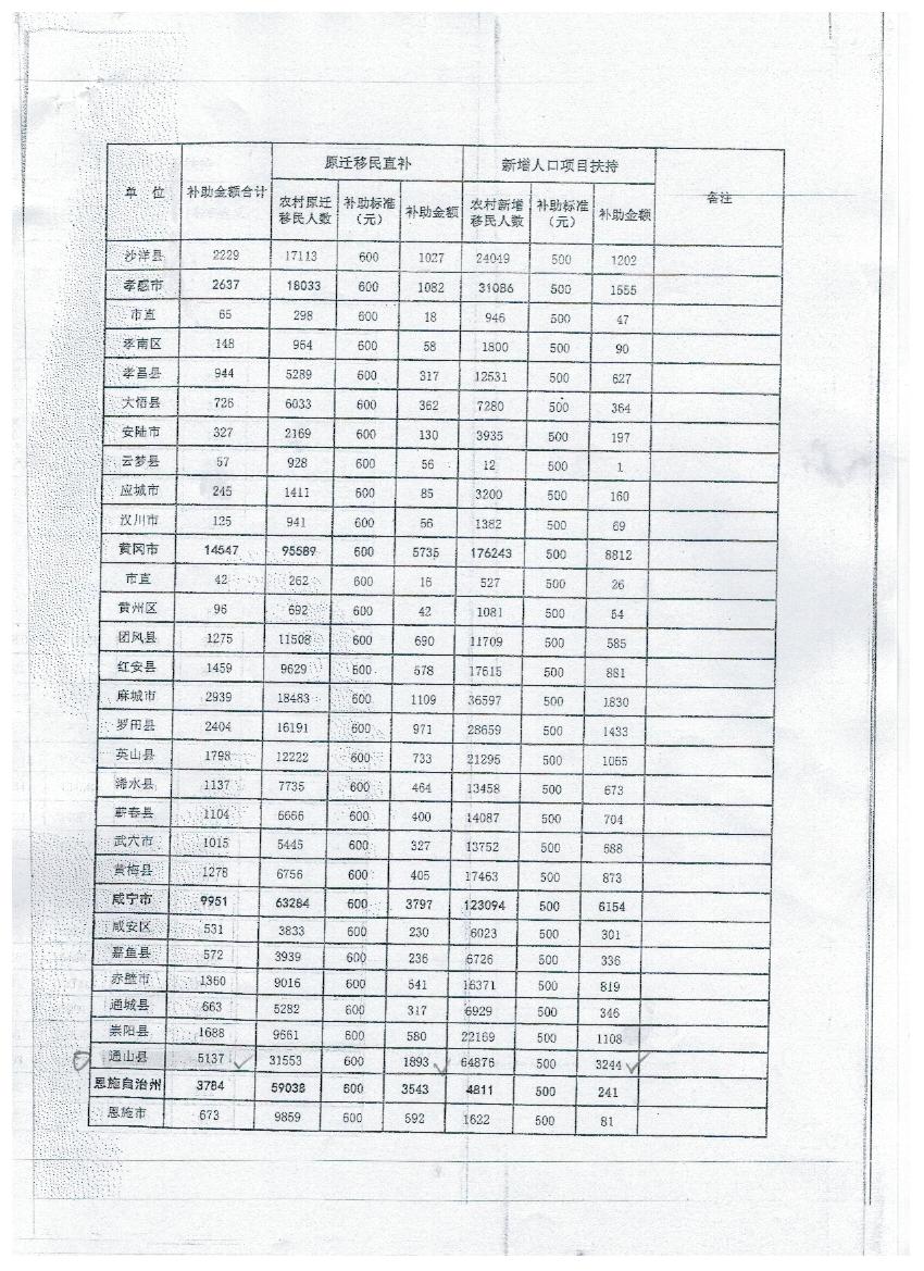
鄂财企发75号文:关于提前下达2019年大中型水库移民后期扶持基金预算指标的通知

索引号 : 11337629/2019-1771873 文       号 :

主题分类: 其他 发文单位: 十大信誉彩票平台

名       称: 鄂财企发75号文:关于提前下达2019年大中型水库移民后期扶持基金预算指标的通知 发布日期: 2019年06月21日

有效性: 有效 发文日期: 2019-06-21 15:22:00


新葡京官网 十大网上赌博网站排名 赌球平台推荐 全球最大在线博彩平台 靠谱网赌平台大全 盐城市林业局 辽宁省民族和宗教事务委员会 吉林市林业局 营口市科技局 南阳市林业局