彩票平台

今天是:
 
当前位置: 首页 > 正文

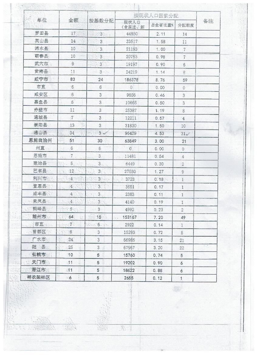
鄂财企发81号文:关于提前下达2019年大中型水库移民后期扶持工作经费预算指标的通知

索引号 : 11337629/2019-1771870 文       号 :

主题分类: 其他 发文单位: 十大信誉彩票平台

名       称: 鄂财企发81号文:关于提前下达2019年大中型水库移民后期扶持工作经费预算指标的通知 发布日期: 2019年06月21日

有效性: 有效 发文日期: 2019-06-21 15:19:00


太阳城娱乐城官方网站 澳门太阳赌城网站 十大网赌靠谱网址 澳门博彩官网 十大菠菜台子 钦州市科技局 林芝市林业局 衡水市科技局 廊坊市林业局 许昌市水利网